【VisionFive 2 Lite 单板计算机】科学计算解决方案:微分方程组的数值求解
本文介绍了昉·星光 VisionFive2 Lite 单板计算机结合 scipy 实现微分方程组数值求解的项目设计。
项目介绍
VisionFive 2 Lite 结合 scipy 与 matplotlib 软件库实现微分方程组的数值求解。
- 准备工作:硬件连接、系统安装、软件更新等;
- 环境搭建:科学计算所需软件库的安装、测试等;
- 微分方程组:结合实际物理问题进行数值求解和计算,包括流程图、代码、效果演示等;
- 二能级系统:考虑全量子 JC 模型,数值计算 Rabi 振荡动力学及其参量依赖关系。
准备工作
包括硬件连接、系统安装、软件更新等。
硬件连接
包括供电、联网、显示、鼠标键盘输入等。
系统安装
安装和烧录 VisionFive2 Lite 官方 Ubuntu 操作系统。
详见:VF2 Lite 系统安装 。
软件更新
更新软件包
wget https://github.com/starfive-tech/Debian/releases/download/v0.15.0-engineering-release-wayland/install_full.sh
sudo chmod +x install_full.sh
sudo ./install_full.sh
详见: StarFive-Tech | Debian .
环境搭建
-
安装 scipy 和 matplotlib 软件包,便于调用 RK45 算法和科学绘图;
sudo apt install python3-scipy sudo apt install python3-matplotlib
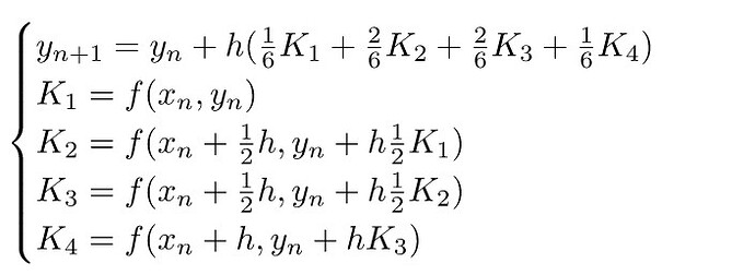
Runge-Kutta 算法
为了获得更为精确的数值解,常用方案是采用四阶 Runge-Kutta 方法。
详见:Runge-Kutta method .
- 使用 Python 编程,通常采用 odeint 和 solve_ivp 函数实现;
solve_ivp是 Python 中 SciPy 库提供的一个函数,用于求解初值问题 (IVP, Initial Value Problem) 的常微分方程组 (ODEs)。使用方法:
scipy.integrate.solve_ivp(fun, t_span, y0, method='RK45', t_eval=None, vectorized=False, args=None, **options)
详见:solve_ivp | scipy .
数值计算
通过调用 solve_ivp 函数实现常微分方程组的数值求解。
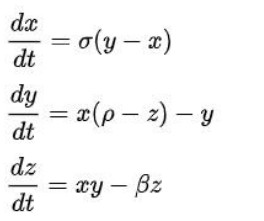
Lorenz 吸引子
Lorenz attractor 是混沌理论中的经典模型。
最早由美国气象学家爱德华·诺顿·洛伦兹在其论文《Deterministic Nonperiodic Flow》中提出。
该模型源于对大气对流方程的简化,旨在研究流体力学中的混沌现象。常用于描述 “蝴蝶效应” 。
Lorenz 吸引子具有三维、非线性和确定性特征,其相轨线呈现出复杂的双纽线形状,状态随时间以非重复模式演变。
其简化的方程形式为
where σ is Prandtl number, ρ is Rayleigh number, β is system parameter.
对于该常微分方程组,可使用 4 阶 Runge-Kutta 算法进行数值求解。
代码
终端执行 touch ode_demo.py 指令新建文件,并添加如下代码
import numpy as np
import matplotlib.pyplot as plt
from scipy.integrate import solve_ivp
# 洛伦兹方程组
def lorenz(t, X, sigma, rho, beta):
x, y, z = X
return np.array([
sigma * (y - x), # dx/dt
x * (rho - z) - y, # dy/dt
x * y - beta * z # dz/dt
])
# 参数与初值
sigma = 1
beta = 1
rho = 1
x0 = [1.0, 0.0, 0.0]
t_span = (0, 100) # 积分区间
t_eval = np.arange(0, 10, 0.01) # 固定步长 0.01
# 数值计算
sol = solve_ivp(lorenz, t_span, x0, args=(sigma, rho, beta),
t_eval=t_eval, rtol=1e-4, atol=1e-4)
# 绘图
fig = plt.figure(figsize=(6, 5))
ax = fig.add_subplot(111, projection='3d')
ax.plot(sol.y[0], sol.y[1], sol.y[2], lw=0.5)
ax.set_xlabel('x'); ax.set_ylabel('y'); ax.set_zlabel('z')
ax.set_title('Lorenz Attractor')
plt.show()
效果
终端运行 python ode_demo.py 弹窗显示数值结果
使用 VisionFive2 Lite 完全可以胜任常微分方程的求解计算,并获得精确可靠的数值结果。
二能级系统
在前面测试常微分方程数值求解的基础上,进一步考虑更为复杂的实际科学计算。
这里以量子光学中常见的二能级系统 Bloch 方程组数值求解为例,在 VisionFive 2 Lite 平台结合 Python 工具包函数实现。
Hamiltonian
考虑半经典(经典光和量子化原子)条件下的光与两能级原子相互作用体系,该系统的示意图如下
探测光耦合原子能级 |1> 和 |2> 之间的跃迁。
该光与原子耦合系统 Hamiltonian 可表示为
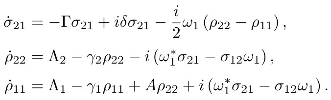
Bloch 方程组
结合 Maxwell-Liouville 方程(亦称光学 Bloch 方程或 Lindblad 主方程),

给出 Hamiltonian 矩阵元对角元的运动方程

该方程组可采用数值或解析的方法求解。
详见:电磁诱导透明机制下基于四波混频过程的光学参量放大动力学研究 .
代码
终端执行指令 touch sci_two-level_system.py 新建程序文件,添加如下代码
import numpy as np
import matplotlib.pyplot as plt
from scipy.integrate import solve_ivp
# ---------- 参数 ----------
Delta = np.arange(-1, 1, 0.01) # range -10:.1:10
Omega = 0.1
gamma21 = 1.0
t_span = (0, 10) # 积分区间
R0 = np.array([0.0, 0.0]) # 初值 ρ=[ρ1, ρ2]
Nd = len(Delta) # number of delta
# ---------- ODE ----------
def rk(t, R, Delta, Omega, gamma21):
r1, r2 = R
dr1 = -(gamma21*r2 + Delta*r1)
dr2 = -(gamma21*r1 - Delta*r2)
return np.array([dr1, dr2])
# ---------- 扫频 ----------
r21R = np.zeros(Nd) # 实部 χ′
r21I = np.zeros(Nd) # 虚部 χ″
print("Start calculation...")
for m, d in enumerate(Delta):
sol = solve_ivp(rk, t_span, R0, args=(d, Omega, gamma21),
method='RK45', rtol=1e-6, atol=1e-6)
# 取终值
r21R[m] = sol.y[0, -1]
r21I[m] = sol.y[1, -1]
# 显示计算进度
if (m+1) % 20 == 0:
print(f"Process: {m+1}/{Nd} (Delta = {Delta[m]:.1f})")
print("Calculation complete!")
# ---------- Plot ----------
print("Start Drawing...")
plt.plot(Delta, r21R, label=r"$\chi'$", linewidth=4)
plt.plot(Delta, r21I, label=r"$\chi''$", linewidth=4)
plt.xlabel(r'$\Delta$ ($\gamma$)')
plt.ylabel(r'$\chi$')
plt.legend()
plt.grid(True)
plt.tight_layout()
plt.show()
print("Terminate Program.")
保存代码。
效果
终端运行 python sci_two-level_system.py ,输出计算进度
弹窗显示绘图结果
获得介质极化率的实部(色散)和虚部(吸收)对应的光谱。在探测光共振时吸收最强,色散最小。
相应的矩阵对角元随时间的演化曲线
可知,矩阵对角元 ρ21 的时间演化快速趋于稳定。
全量子模型
在全量子(光和原子均量子化)领域,基于二能级系统的 Jaynes-Cummings 模型扮演着基础且重要的角色。
模型
考虑包含耗散的二能级系统,示意图如下
其中 γ 表征能级的耗散和衰减速率。
主方程
结合二能级系统的全量子 Hamiltonian 和密度矩阵的 Lindblad 主方程,可得
同样使用 Runge-Kutta 算法,结合 solve_ivp 函数,给出全数值解决方案。
代码
终端执行指令 touch jc_p-t.py 新建程序文件,添加如下代码
import numpy as np
import matplotlib.pyplot as plt
from scipy.integrate import solve_ivp
# ---------- Parameters ----------
omega1 = 0
Lambda1 = 1
Lambda2 = 1
gamma1 = 1
gamma2 = 1
F = 1
Gamma = (gamma1 + gamma2) / 2 + F
A = 1
Dn = np.array([0, 1, 2, 3]) # n = 0,1,2,3
t_eval = np.arange(0, 80.1, 0.1) # time range
# ---------- ODE defination ----------
def rk(t, R, delta, omega1, Lambda1, Lambda2, Gamma, gamma1, gamma2, A):
r11, r22, re21, im21 = R
dr11 = Lambda1 + gamma1 * r11 + A * r22 + 2 * im21
dr22 = Lambda2 + gamma2 * r22 - 2 * omega1
dre21 = -Gamma * re21 - delta * im21
dim21 = delta * re21 - Gamma * im21 - omega1 * (r22 - r11) / 2
return np.array([dr11, dr22, dre21, dim21])
# ---------- Scan N ----------
P = np.empty((len(t_eval), 4)) # Population ρ₁₁−ρ₂₂
for k, n in enumerate(Dn):
delta = n * omega1
R0 = np.array([1.0, 0.0, 0.0, 0.0]) # [ρ11, ρ22, Reρ21, Imρ21]
sol = solve_ivp(rk, [0, 80], R0, args=(delta, omega1, Lambda1, Lambda2,
Gamma, gamma1, gamma2, A),
t_eval=t_eval, rtol=1e-6, atol=1e-6)
P[:, k] = sol.y[0, :] - sol.y[1, :] # ρ₁₁−ρ₂₂
print("Calculation complete!")
# ---------- Draw ----------
print("Start Drawing...")
plt.plot(t_eval, P[:, 0], '-k', label=r'$\delta=0$', linewidth=3)
plt.plot(t_eval, P[:, 1], '--r', label=r'$\delta=0.2\gamma$', linewidth=3)
plt.plot(t_eval, P[:, 2], '-.b', label=r'$\delta=0.4\gamma$', linewidth=3)
plt.plot(t_eval, P[:, 3], ':m', label=r'$\delta=0.6\gamma$', linewidth=3)
plt.xlabel(r'Time ($1/\gamma$)')
plt.ylabel(r'$\rho_{11}-\rho_{22}$')
plt.legend()
plt.grid(True)
plt.tight_layout()
plt.show()
print("Terminate Program.")
保存代码。
效果
终端运行 python jc_p-t.py ,弹窗显示绘图结果;
- 不同失谐(delta)条件下,粒子布居振荡(ρ11-ρ22)随时间的演化如下
- 给出布居振荡随时间和失谐变化的伪彩图
- 给出对应的三维渲染结果
该结果表明原子在基态和激发态之间的 Rabi 振荡 rho11 - rho22 随失谐的增加而减弱。
总结
本文介绍了 VisionFive2 Lite 单板计算机结合 Python 软件包 scipy 实现常微分方程组的数值求解,给出了该设备在科学计算领域的应用解决方案,包括半经典和全量子体系的 Bloch 方程组的数值求解、原理、方程、代码与结果,为相关产品在工业、科研、科学计算领域的快速应用提供了参考。













